Andrey Rybakov

Pre-doctoral Fellow at ICMol, University of Valencia.

prof_pic.jpg

anry@uv.es

Office 2.1.4

Instituto de Ciencia Molecular

Catedrático José Beltrán Martínez nº 2

Valencia, Spain, 46980

Graduated with honours from Moscow Institute of Physics and Technology (MIPT) in 2019. Received a master degree in Applied Physics and Math from MIPT in 2021. Bachelor and master thesis were devoted to the design of the quantum cellular automata based on the clusters of mixed valence under the supervision of Andrew Palii.

My research interest is focused on the theoretical methods, that are necessary for better yet description of the experimental phenomena and design of novel materials and devices.

I am working on the theory of the magnetic ground state and magnetic excitations.

news

Sep 19, 2023 The page is live.

latest posts

Oct 8, 2023 Russian-Ukrainian War

selected publications

2025

  1. boix2025programmable.png
    Programmable Magnetic Hysteresis in Orthogonally-Twisted 2D CrSBr Magnets via Stacking Engineering
    Carla Boix-ConstantAndrey Rybakov, Clara Miranda-Pérez, Gabriel Martínez-Carracedo, Jaime FerrerSamuel Mañas-Valero, and Eugenio Coronado
    Advanced Materials, 2025

2024

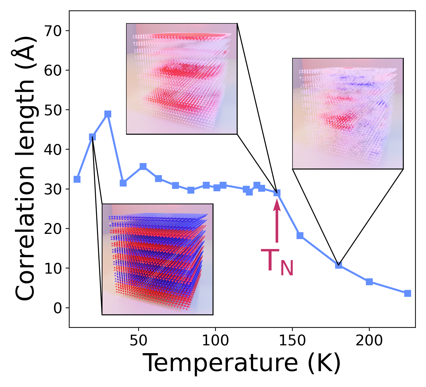
  1. rybakov2024probing.png
    Probing Short-Range Correlations in the van der Waals Magnet CrSBr by Small-Angle Neutron Scattering
    Andrey RybakovCarla Boix-Constant, Diego Alba Venero, Herre S. J. Zant, Samuel Mañas-Valero, and Eugenio Coronado
    Small Science, 2024